Bet365手机版下载-Bet365中文版app
主页
信息中心
Bet365手机版下载 概况
师资队伍
教育教学
学科建设
科学研究
党建工作
学生工作
招生就业
资料下载
信息中心
Bet365手机版下载 要闻
通知公告
学术信息
教务公告
科研动态
就业服务
当前位置:
主页
>
信息中心
>
通知公告
>
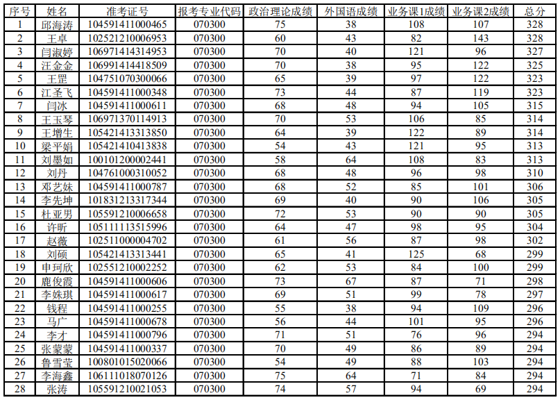
Bet365手机版下载 2021年学术型硕士生调剂考生复试人员名单
发布时间:2021-03-27 14:32 浏览次数:
根据国家和学校研究生复试工作要求,结合Bet365手机版下载 调剂考生报名情况,经Bet365手机版下载 研究生招生工作领导小组讨论确定,Bet365手机版下载 化学专业2021年硕士研究生招生调剂考生复试人员名单如下: